Arithmetic Chapter 3 Rational Number
Natural Numbers: 1, 2, 3, 4, 5……., 125, ……. are counting numbers or natural numbers such that 1 is the first natural number and there is no last natural number.
⇒ The natural number is denoted by N and is written as N = (1, 2, 3, 4, . . . . . . . ., 125,…..)
Whole Numbers: The numbers 0, 1, 2, 3,….., and 125, are called whole numbers.
Read and Learn More WBBSE Solutions For Class 8 Maths
⇒ The whole number is denoted by W and is written as W = (0, 1, 2, 3,…… 125, …)
Integers: The numbers …. -4, -3, -2, -1; 0, 1, 2, 3 ….. are called Integers.
⇒ The Integers is denoted by Z and is written as Z = (..,-3, -2, -1, 0, 1, 2, 3…..)
⇒ The integers greater than 0, i.e. 1, 2, 3 ….. are called positive Integers and the Integers less than 0, i,.e. -1, -2, -3,…. are called negative Integers.
⇒ 0 (zero) is an Integer that is neither positive nor negative.

Differece Between Rational And Irrational Numbers
Rational Numbers: The numbers which can be expressed in the form of \(\frac{p}{q}\) where p and q are integers and q ≠ 0 are called Rational Numbers.
Example: 6, \(\frac{3}{9}\), 0, \(\frac{5}{6}\) etc. [All integers are Rational Numbers]
Irrational Numbers: The numbers which cannot be expressed in the form of \(\frac{p}{q}\) where p and q are integers and q ≠ 0 are called Irrational Numbers.
Example: √3, π etc.
Real Number:
- Rational Number
- Irrational Number
Some important points:
1. If two rational numbers x and y such that x < y there is a rational number. \(\frac{x+y}{2}\) i.e. x < \(\frac{x+y}{2}\) < y
2. If x and y are two rational numbers and x < y then n rational numbers between x and y are (x + d), (x + 2d), (x + 3d),…….. (x + nd), where d = \(\frac{y-x}{n+1}\)
3. If the rational numbers of the far \(\frac{p}{q}\) be expressed into decimals, it will be terminating into decimals it will be terminating decimal number, where q has prime factors 2 and 5 only.
4. If the rational numbers of the form be expressed into recurring decimals where has prime factors other than 2 and 5.
5. If rational numbers are expanded into decimals it will be terminating or recurring and the fraction whose decimal form is terminating or recurring will be rational.
6.
- Sum of rational numbers are rational.
- Difference of rational numbers are rational.
- Product of rational numbers are rational.
- Quotient of two rational numbers (not divided by 0) are rational.
7. If a, b, c are rational numbers.
| WBBSE Class 8 English Functional Grammar | WBBSE Class 8 English Reading Skills |
| WBBSE Solutions For Class 8 English | WBBSE Solutions For Class 8 Maths |
Associative Law:
⇒ a + (b + c) = (a + b) + c [Associative law of addition]
⇒ But a (b – c) (a – b) – c [Associative law does not exists for subtraction]
⇒ and a x (b x c) = (a x b) x c [Associative law for product]
Commutative law:
⇒ a + b = b + a (for addition)
⇒ a – b + b – a (not exist for subtraction)
⇒ a x b = b x a (for product)
⇒ \(\frac{a}{b}\) \(\frac{b}{a}\) (not exist for division)
Distributive law:
⇒ a x (b+c) = a x b + a x c
Arithmetic Chapter 3 Rational Number Examples
Example 1. Find the value of (2x + 5) when x = –\(\frac{3}{8}\)
Solution:
Given f(x) = 2x + 5 and x = –\(\frac{3}{8}\)
⇒ f(-\(\frac{3}{8}\)) = 2 × (-\(\frac{3}{8}\))+5
⇒ f(-\(\frac{3}{8}\)) = – (2 × (\(\frac{3}{8}\)) +5
⇒ f(-\(\frac{3}{8}\)) = \(\frac{3}{4}+5\)
⇒ f(-\(\frac{3}{8}\)) = \(\frac{-3+20}{4}\)
⇒ f(-\(\frac{3}{8}\)) = \(\frac{17}{4}\)
⇒ f(-\(\frac{3}{8}\)) = 4 \(\frac{1}{4}\)
∴ The Value of f(x) = 2x + 5 = 4 \(\frac{1}{4}\)
Example 2. Solve the following equations and express the roots in form (where q ≠ 0 and p, q are two integers)
- 3x – 7 = 0
- y = 15 + 10y
Solution:
Given That :
f(x) = 3x – 7 = 0
⇒ 3x = 7
⇒ x = \(\frac{7}{3}\)
∴ x = \(\frac{7}{3}\)
∴ The root of the equations is ( X – \(\frac{7}{3}\)) =0
f(y) ⇒ y = 15 + 10y
y = 15 + 10y
⇒ y – 10y = 15
⇒ – 9y = 15
⇒ y = –\(\frac{15}{9}\)
⇒ y = \(\frac{-5}{3}\)
∴ y = \(\frac{-5}{3}\)
∴ The root of the equations is ( y + \(\frac{5}{3}\) ) = 0
Example 3. Write the approximate number in the following boxes:
x \(\frac{-5}{3}\) = 1- (-\(\frac{6}{11}\)) + (\(\frac{7}{12}\)) =

Solution :
x –\(\frac{5}{3}\) = 1 ⇒
= -1 x \(\frac{13}{5}\) = –\(\frac{13}{5}\)- (-\(\frac{6}{11}\)) + (\(\frac{7}{12}\)) = \(\frac{-72+77}{132}=\frac{5}{132}\)
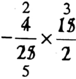
Example 4. Write the product by multiplying \(\frac{4}{25}\) with the reciprocal of (-\(\frac{2}{15}\)).
Solution: The reciprocal of (-\(\frac{2}{15}\)) is (-\(\frac{15}{2}\))
\(\frac{4}{25} \times\left(-\frac{15}{2}\right)\)

= \(-\frac{6}{5}\)
Example 5. Find the value of the following with the help of Commutative law and Associative law.
- \(\frac{7}{9} \times\left(-\frac{11}{25}\right) \times\left(-\frac{87}{42}\right) \times\left(\frac{5}{121}\right)\)
- \(\frac{3}{4}+\left(-\frac{7}{10}\right)+\frac{5}{6}+\left(-\frac{12}{25}\right)\)
Solution:
1. \(\frac{7}{9} \times\left(-\frac{11}{25}\right) \times\left(-\frac{87}{42}\right) \times \frac{5}{121}\)
= \(\frac{7}{9} \times\left\{\left(-\frac{11}{25}\right) \times\left(-\frac{87}{42}\right)\right\} \times \frac{5}{121}\)
= \(\frac{7}{9} \times\left\{\left(-\frac{87}{42}\right) \times\left(-\frac{11}{25}\right)\right\} \times \frac{5}{121}\)
[I get with the help of Commutative Law and Associative Law]

2. \(\frac{3}{4}+\left(-\frac{7}{10}\right)+\frac{5}{6}+\left(-\frac{12}{25}\right)\)
= \(\frac{3}{4}+\left\{\left(-\frac{7}{10}\right)+\frac{5}{6}\right\}+\left(-\frac{12}{25}\right)=\frac{3}{4}+\left\{\frac{5}{6}+\left(-\frac{7}{10}\right)\right\}+\left(-\frac{12}{25}\right)\)
= \(\left(\frac{3}{4}+\frac{5}{6}\right)+\left\{\left(-\frac{7}{10}\right)+\left(-\frac{12}{25}\right)\right\}=\left(\frac{9+10}{12}\right)+\left\{-\left(\frac{35+24}{50}\right)\right\}\)
= \(\left(\frac{19}{12}\right)+\left(-\frac{59}{50}\right)\) [I get with the help of Commutative Law and Associative Law]
= \(\frac{475-354}{300}=\frac{121}{300}\)
Example 6. Write three rational numbers between (-5) and (-4).
Solution: 3 rational numbers are -4.1 or, –\(\frac{41}{10}\), -4.3 or, –\(\frac{43}{10}\), -4.5 or –\(\frac{45}{10}\) as –\(\frac{9}{2}\)
Example 7. Write 10 rational numbers between –\(\frac{3}{5}\) and \(\frac{1}{2}\)
Solution: –\(\frac{3}{5}\) = –\(\frac{6}{10}\) = –\(\frac{12}{20}\), \(\frac{1}{2}\) = \(\frac{5}{10}\) = –\(\frac{10}{20}\)
∴ 10 rational numbers are: –\(\frac{9}{20}\), –\(\frac{7}{20}\), –\(\frac{5}{20}\), –\(\frac{3}{20}\), –\(\frac{1}{20}\), \(\frac{1}{20}\), \(\frac{3}{20}\), \(\frac{5}{20}\), \(\frac{7}{20}\), \(\frac{9}{20}\)
Example 8. Plot the number \(\frac{1}{4}\) on number line.
Solution:

Example 9. Plot -2\(\frac{3}{5}\) on number line.
Solution :

Example 10. Write 5 rational number lying between \(\frac{3}{5}\) and \(\frac{4}{5}\).
Solution: Here x = \(\frac{3}{5}\), y = \(\frac{4}{5}\), x = 5
d = \(d=\frac{y-x}{x+1}=\frac{\frac{4}{5}-\frac{3}{5}}{5+1}=\frac{\frac{1}{5}}{6}=\frac{1}{30}\)
∴ 5 rational numbers are: \(\left(\frac{3}{5}+\frac{1}{30}\right),\left(\frac{3}{5}+\frac{2}{30}\right),\left(\frac{3}{5}+\frac{3}{30}\right),\left(\frac{3}{5}+\frac{4}{30}\right),\left(\frac{3}{5}+\frac{5}{30}\right)\)
i.e. \(\frac{19}{30}, \frac{20}{30}, \frac{21}{30}, \frac{22}{30}, \frac{23}{30}\)
Example 11. Write 6 rational numbers lying between 5 and 6.
Solution: Write the equivalent rational numbers of 5 and 6 which have (6 + 1) or 7 as denominator.
5 = \(\frac{35}{7}\), 6 = \(\frac{42}{7}\)
∴ 6 rational numbers are: \(\frac{36}{7}, \frac{37}{7}, \frac{38}{7}, \frac{39}{7}, \frac{40}{7}, \frac{41}{7}\)
Example 12. Choose the correct answer
1. √2 is a
- Rational number
- Irrational number
- Natural number
- Whole number
Solution: √2 = 1.414…..
∴ So √2 is irrational number.
∴ So the correct answer is 2. Irrational number
√2 is a Irrational number.
2. Product of \(\frac{7}{18}\) and reciprocal of (-\(\frac{5}{6}\)) is
- –\(\frac{7}{15}\)
- –\(\frac{15}{7}\)
- \(\frac{7}{15}\)
- \(\frac{7}{15}\)
Solution: The reciprocal of (-\(\frac{5}{6}\)) is (-\(\frac{6}{5}\))

∴ So the correct answer is 1. –\(\frac{7}{15}\)
Product of \(\frac{7}{18}\) and reciprocal of (-\(\frac{5}{6}\)) is –\(\frac{7}{15}\)
3. a x \(\frac{1}{a}\) =? [where a is rational number and a ≠ 0]
- 1
- a
- \(\frac{1}{a}\)
- None of these
Solution: a x \(\frac{1}{a}\)
∴ So correct answer is 1. a x \(\frac{1}{a}\)
a x \(\frac{1}{a}\) =1.
Example 13. Write ‘True’ or ‘False’:
1. Commutative law of subtraction does not exist for rational numbers.
Answer: True.
2. \(-\frac{21}{29} p-\left(\frac{21}{29}\right)=0\)
Answer: False
3. If x = –\(\frac{2}{5}\) then, \(\frac{1}{x}\) + \(\frac{x}{2}\) = –\(\frac{10}{27}\)
Solution: \(\frac{1}{x}+\frac{x}{2}=\frac{1}{-\frac{2}{5}}+\frac{-\frac{2}{5}}{2}\)
= \(-\frac{5}{2}-\frac{2}{5} \times \frac{1}{2}=-\left(\frac{5}{2}+\frac{1}{5}\right)=-\left(\frac{25+2}{10}\right)=-\frac{27}{10}\)
∴ So, the statement is false.
Example 14. Fill in the blanks
1. √47 is a ______ number.
Answer: Irrational number
√47 is a Irrational number
2. \(\frac{2}{9}\) + ____ = 0
Answer: –\(\frac{2}{9}\)
\(\frac{2}{9}\) + \(\frac{2}{9}\)= 0
3. (-\(\frac{2}{3}\)) + 0 = _____
Answer: Undefined
(-\(\frac{2}{3}\)) + 0 = Undefined
























































