WBBSE Solutions For Class 10 Physical Science And Environment Chapter 8 Physical And Chemical Properties Of Matter Periodic Table And Periodicity Of The Properties Of Elements

WBBSE Chapter 8 Physical And Chemical Properties Of Matter Periodic Table And Periodicity Of The Properties Of Elements

Brief History Of The Periodic Table

In the 18th century, only 31 elements were known. Up to 1865, more elements (63) were identified. At that time, the number of known elements was increasing, and separate studies of each element were becoming difficult.

Scientists were trying to classify the elements having identical properties in a single class/group.
The first attempt was made in 1829 by German chemist Johann Dobereiner.

He made groups of 3 elements in the order of increasing atomic mass such that the atomic mass of the middle element is equal to the average value of the atomic mass of the corner elements.

This group of elements was named Dobereiner’s traits He could identify only 3 triads for the elements known at that time.

For the first time, Dobereiner’s model gave an idea of the classification of elements. But all known elements could not be arranged in triads.

WBBSE Notes For Class 10 Physical Science And Environment

In some cases, even in the same group, this model was not obeyed.

WBBSE Solutions For Class 10 Physical Science And Environment Chapter 8 Physical And Chemical Properties Of Matter element and atomic mass

For example F-19, CI-35.5, Br-80, the average atomic mass \(=\frac{19+80}{\cdot 2}=49 \cdot 5\) (it did not match). So, ultimately this model was rejected.

After a long time, in 1864, English scientist Newlands, making use of the octave concept of the music system was successful in arranging 8 elements in the order of increasing atomic mass, to make an octave.

Newlands found that every 8th element has chemical properties similar to the 1st element, the same for the 2nd and 9th elements, etc.

WBBSE Solutions For Class 10 Physical Science And Environment Chapter 8 Physical And Chemical Properties Of Matter Periodic Table

This model was successful up to Ca (only for lighter elements not for all elements known at that time). For the first time, Newlands gave the idea of periodicity/repetition of properties.

In 1869-70, German chemist Lothar Meyer and Russian chemist Dmitri Mendeleev were studying to find out the similarity in properties of the arrangement of elements.

Both scientists reached almost the same level of conclusion but in different ways.

Meyer’s investigation was based on a graphical analysis of atomic volume vs atomic mass

According to Meyer, elements at similar positions on the graph have similar properties.

WBBSE Solutions For Class 10 Physical Science And Environment Chapter 8 Physical And Chemical Properties Of Matter lother meyer's graph

Example: at the peaks he found alkali metals of Gr. 1 (Na, K, Rb), in descending slopes→ alkaline earth metals (Mg, Ca, Sr), in ascending slopes → halogens (Cl, Br, I).

Meyer classified only 28 elements. But from the graph, exact information about elements still remained unexplained.

In the same year, Mendeleev was studying to find out the relation between the atomic mass of

elements and their physical properties (density, LotherMeyersgraph melting point, boiling point) and chemical properties (how an element reacts with other elements).

WBBSE Notes For Class 10 Geography And EnvironmentWBBSE Notes For Class 10 History And Environment
WBBSE Solutions For Class 10 Life ScienceWBBSE Class 10 Life Science Multiple Choice Questions
WBBSE Solutions for Class 10 MathsWBBSE Class 10 Maths Multiple Choice Questions
WBBSE Notes For Class 10 Physical Science And Environment

 

Mendeleev’s Periodic Law: The physical and chemical properties of the elements are the periodic function of their atomic masses.

Based upon this law, Mendeleev arranged only 63 elements known at that time in order of increasing atomic mass in tabular form which he named Periodic While arranging so, he made 7 horizontal rows called Periods and represented these as periods 1, 2, 3 . . . 7.

WBBSE Solutions For Class 10 Physical Science And Environment Chapter 8 Physical And Chemical Properties Of Matter lother mendeleevs periodic

He told in the same period moving from left →right, properties shift from metal-non-metal. Mendeleev’s original periodic table has 8 vertical columns which he named Groups

and numbered as Gr. I, II, III, VIII. After the discovery of noble gases (1891 – 1902), a separate Gr. (0) has been added.

He also left some gaps. The revised version of Mendeleev’s Periodic Table has 7 periods and 9 groups. He divided Grs. I → VII into sub-groups A, B.

But Gr. VIII has no sub-group it has 3 elements in a single period. He suggested that elements in the same sub-group have the same valency/identical properties.

WBBSE Solutions For Class 10 Physical Science And Environment Chapter 8 Physical And Chemical Properties Of Matter lother forformulae of 1

WBBSE Solutions For Class 10 Physical Science And Environment Chapter 8 Physical And Chemical Properties Of Matter lother forformulae of 2

Actually, Mendeleev’s analysis was based on the formulae of oxides and hydrides that the elements can form because 02 and H2 are very much reactive and form compounds with most elements

Mendeleev’s Periodic Table completely changed old ideas. Although it was different from the modern one, it was a huge step in the classification of elements.

Mendeleev is considered the ‘Father of the Periodic Table.’

Few achievements of Mendeleev: In his periodic table, he left gaps below Al (26-98) and named it eka-aluminum (later it was discovered Ga) and below Si (28-09) and named it eka-silicon (later discovered element was Ge), etc.

In this way, he made a strong prediction of some undiscovered elements. Also, successfully predicted some of their physical and chemical properties.

In 4 misfit positions, he placed an element with a slightly greater atomic mass before an element with a slightly lower atomic mass.

For example Ar (39-95) and K (39-10); Co (58-93) and Ni (58-71); Te (127 60) and I (126-90); Th (232-04); and Pa (231).

Perhaps, this was done so that elements with similar properties could be grouped together.

After the discovery of noble gases, they could be placed in a new group without disturbing the existing order.

Improvements needed In Mendeleev’s Periodic Table: O In some cases, dissimilar elements were placed in the same group. For example : (Na, K, and Rb) were placed in the same Gr. I with (Cu, Ag).

In some cases, similar elements were placed in separate groups. Example : (Pt and Au).

Isotopes of the same element should have different positions in the periodic table.

No fixed position could be given to hydrogen because of its similarities with Gr IA elements (alkali metals) and Gr. VII B elements (halogens).

WBBSE Chapter 8 Physical And Chemical Properties Of Matter Modern Periodic Table

In 1911 Henry Moseley, while experimenting with X-rays taking 38 different elements as target material proved that the Frequency Characteristic To an Element Depends On the Atomic

a number of the element \((\sqrt{f} \propto Z)\), where Z = atomic number = a number of p’, present in the nucleus of an atom.

For a neutral atom, the number of ps = the number of e s. According to this concept, the chemical properties of the elements are more related to their atomic numbers than their atomic masses.

Modern Periodic Law: The physical and chemical properties of the elements are the periodic function of their atomic numbers.

Modern Periodic Table (Long Form of Periodic Table): Soon after the discovery/ of Moseley, all elements increased in the order of their atomic numbers instead of atomic masses. A group of scientists contributed to this work.

In 1920 Niels Bohr prepared the Modem Periodic Table, which is popularly known as the Long Form of the Periodic it is prepared on the basis of the electronic configuration of the elements.

WBBSE Solutions For Class 10 Physical Science And Environment Chapter 8 Physical And Chemical Properties Of Matter long form of periodic table

The modem periodic table has 7 horizontal periods (1, 2, 3, 4, 5, 6, 7) and 18 vertical columns (1 – 18). As per the proposal of IUPAC (1984), the groups are numbered 1, 2, 3, 4, and 18 in place of Mendeleev’s sub-groups A, and B.

The elements mentioned in serial no. 1, 2, and 3, are the atomic number of different elements with every element the atomic number increasing by 1 means 1 extra p or 1 extra e¯ is added to the chemical structure.

Significance of Period: The number of shells (orbits) present in an atom is the period number. As in every next period, 1 more shell gets added.

WBBSE Solutions For Class 10 Physical Science And Environment Chapter 8 Physical And Chemical Properties Of Matter significatance of period

WBBSE Solutions For Class 10 Physical Science And Environment Chapter 8 Physical And Chemical Properties Of Matter significatance of period 2

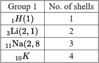
Significance of Group: Elements having similar chemical properties or more specifically having similar electronic configurations are grouped together. Examples:

(1) Gr. I. elements (1H – 78Fr) have similar electronic configurations: \({ }_1 \mathrm{H}(\underline{1}),{ }_3 \mathrm{Li}(2, \underline{1}),{ }_{11} \mathrm{Na}(2,8, \underline{1}),{ }_{19} \mathrm{~K}(2,8,8, \underline{1})\)

.. All have 1 valence e¯ in the outermost shell. So they have the same valency = 1 and the same other chemical properties.

All Gr. 1 elements except are called alkali metals, because they form strong alkalis with water.

(2) Gr. 2 elements (4Be – 88Ra) have 2 valence e¯s: 4Be = (2, 2), 12Mg (2, 8, 2), 20 Ca (2, 8, 8, 2) . . . So their valency = 2.

All Gr. 2 elements are called alkaline earth metals because they form weaker alkalis as compared to Gr. 1. elements. Their oxides are available on Earth.

(3) Gr. 17 elements (gF – g5 Al) have 7 valence e¯s and can accept le_ in the outermost shell to complete the octet. 9F (2, 7), 17CI (2, 8, 7).

So they have the same valency = 1. These elements are called halogens (which means salt-producing).

(4) Gr. 18 elements (2He –86Rn) have fulfilled the outermost shell, for which they have zero (0) valency. 2He(2), 10Ne(2, 8), lgAr (2, 8, 8).

These elements are called noble gases/inert gases because of their non-reacting power with other elements.

(5) Gr. 13 elements are elements of the B (Boron) family as B is the 1st member. Similarly, Gr. 14→ C (Carbon) family, Gr. 15→ N family,

Gr. 16→ O family or chalcogens (means ore forming).

Gr. 3-12 elements are called transition elements because the properties shift/transit from metal to non-metal.

Special feature:

Elements in Periodic 6 with atomic number 57 – 71 are called Lanthanides, because they start with 57La (Lanthanum). They are called rare earth elements.

Elements in Period 7 with atomic number 89 – 103 are called Actinides, because they start with 89Ac(Actinium). These are radioactive elements.

The success of the Modern Periodic Table: It rectified the anomalies in Mendeleev’s Periodic Table.

On the basis of the arrangement. of elements with increasing atomic number positions of 1 Co and Ni were corrected.

Isotopes have similar chemical properties. So, they belong to the same position as that of the element in the periodic table.

The position of hydrogen in the periodic, table is controversial. It belongs to some properties like Gr. 1 alkali metals and some properties like Gr. 17 halogens.

Example:

WBBSE Solutions For Class 10 Physical Science And Environment Chapter 8 Physical And Chemical Properties Of Matter properties

Because of these peculiarities, Mendeleev named hydrogen a ‘rogue element’. In general, hydrogen is considered as a non-metallic gas.

Some trans-uranic elements: These are elements having an atomic number greater than that of uranium i.e. Z > 92 in the periodic table.

Examples are Neptunium (Z = 93), Plutonium (Z = 94), Curium (Z = 96), Einsteinium (Z = 99), Mendeleevium (Z = 101), etc.

Except for Neptunium and Plutonium, others are man-made. The discovery of the element Copernicium (Z = 112) completes the transition element series.

WBBSE Chapter 8 Physical And Chemical Properties Of Matter Periodic Trends In The Periodic Table

When properties of elements in a period/group in the periodic table are compared, certain regularity is observed in their variations which are called periodic trends.

The properties repeat themselves (either increase or decrease) after regular intervals in the periodic table. This is a regular trend or pattern.

This trend is measured in two ways: Across a period (from left to right) and down a group (from top to bottom).

In our syllabus, we will study some periodic trends such as atomic radii, ionization energies, and oxidizing-reducing properties of elements of Gr.1-2 and 13-18.

1. Atomic radii/Atomic size: Atomic radius is the distance of the outermost from the nucleus of the atom (i.e. atom’s boundary).

It is so little that we cannot directly measure the radius of an isolated atom. But from experimental data collected from other experiments, the atomic radius can be derived indirectly.

It is expressed in a picometer (pm) unit which is even smaller than a nanometer (1 pm = 1CT12 m).

Trends in atomic radii (along a period from left to right): Along a period, the number of shells remains the same.

A number of ps increasing i.e. nuclear charge increasing i.e. e¯s are attracted towards the nucleus by a greater force means atomic radii decrease.

WBBSE Solutions For Class 10 Physical Science And Environment Chapter 8 Physical And Chemical Properties Of Matter group period

Down the group (Top-Bottom): With, as we move down the group, the number of shells Number of valence e¯s remain the same.

This means outermost e¯s are going away from the nucleus, which means atomic radii increase.

The trend in atomic radii: Along a period from left to right decreases and down the group increases.

WBBSE Solutions For Class 10 Physical Science And Environment Chapter 8 Physical And Chemical Properties Of Matter period

Ionization energy (I.E.):

Definition: Ionization (I.E.) energy is defined as the minimum amount of energy required to remove the outermost e¯ of an isolated neutral gaseous atom to form a cation.

i.E. is always + Ve because removal of e requires energy. It is an endothermic reaction.

I.E. is measured in eV / atom unit for an isolated atom. It means how much eV energy is required to remove e¯ from an atom.

Explanation: We know that e¯s are bound with the nucleus with a strong electrostatic force of attraction.

To remove the outermost e¯, energy is needed to be applied externally/ work to be done – which is called i.E.

Example: \(\underset{\text { (neutral) }}{\mathrm{M}^{\circ}} \rightarrow e^{-}+\underset{\text { (cation) }}{\mathrm{M}^{+}}(+\Delta \mathrm{H})\)

Another famous unit is KJ/mol for 1 mol gas is also used (leV/atom = 96 KJ / mol).

Trends in I.E. along a period (Left →Right): As we move along a period, atomic size increases meaning nuclear charge increases means attraction of e¯ increases means removal e¯ becomes tougher. So more I.E…….. is required for 9F as compared to 3Li.

WBBSE Solutions For Class 10 Physical Science And Environment Chapter 8 Physical And Chemical Properties Of Matter group period 2

Down the group (Top→Bottom): As we move down the group, the number of shells increases means atomic size increases means e¯ is going away from the nucleus means removal of e¯ becomes harder.

So less I.E. is required to produce K+ion than to produce Fl+ ion.

WBBSE Solutions For Class 10 Physical Science And Environment Chapter 8 Physical And Chemical Properties Of Matter number of shells

The general trend in I.E.: Along a period from left to right increases and down the group decreases. (There are some exceptional cases also. You will learn more in higher classes).

Electronegativity (E.N.):

Definition: The ability of an atom to attract shared pair of es towards itself in a covalent bond within a molecule is called electronegativity.

Explanation: Let us take an example: WBBSE Solutions For Class 10 Physical Science And Environment Chapter 8 Physical And Chemical Properties Of Matter x and y Here, the shared pair of e¯s are attracted by both the atoms X and Y.

The atom which has more E.N. has a greater ability to attract the e pair. On the other hand, the atom which has less E.N. has a lesser ability to attract the e -pair.

So E.N. is a relative property as its idea is not related to an individual atom. So, it has no unit. It is measured in Pawling’s scale.

WBBSE Solutions For Class 10 Physical Science And Environment Chapter 8 Physical And Chemical Properties Of Matter hcl

In the HCI molecule, H-nucleus weakly attracts the e¯pair, which is stronger for Cl-nucleus.
So, the E.N. of Cl is more than the E.N. of H.

As a result of this, both H and Cl atoms become partially charged – Cl gets a slight – ve charge (5-) and H gets a slight +i/e charge (8+). The chemical bond between H and Cl is called a polar bond.

WBBSE Solutions For Class 10 Physical Science And Environment Chapter 8 Physical And Chemical Properties Of Matter polar molecule

In the F2 molecule, the F atoms equally attract the e¯pair. So no partial +ve/-ve charge appears on either atom of F. So F2 molecule has a non-polar bond.

Trends of E.N. in the Periodic Table along a period: As we move from left to right, atomic size decreases, and nuclear charge increases means the ability to attract shared e pair also increases. So, gF is more E.N. than 5B and 5B is more E.N. than 1H.

WBBSE Solutions For Class 10 Physical Science And Environment Chapter 8 Physical And Chemical Properties Of Matter atmoic size

Note: F is the most electronegative element of all the elements.

Metallic and Non-metallic character: Elements that have more electronegativity have a tendency to gain e¯s.

They have non-metallic On the other hand, elements that have less electronegativity have a tendency to lose e¯s.

They have a metallic character. So in the periodic table, along a period metallic character decreases, and down the group metallic character increases.

Factors on which metallic and non-metallic character of elements depend are:

  1. Atomic size
  2. Nuclear charge.

Oxidizing / Reducing Properties: Oxidation is the loss of e¯ s and Reduction is the gain of e¯s.

WBBSE Solutions For Class 10 Physical Science And Environment Chapter 8 Physical And Chemical Properties Of Matter atmoic size oxidation

Metals have a tendency to lose e¯s known as reducing property. Non-metals have a tendency to gain e¯sr known as oxidizing property.

Within a compound, metal atoms have a relatively low attraction for the e¯s because of their low I.E., and low electronegativity.

Elements present on the right of the periodic table are strong oxidizing agents. Elements present on the left side of the periodic table are strong reducing agents.

General trend: Along a period, as we move from left to a right tendency to gain e¯ increases, and the tendency to lose e¯ decreases.

This means that oxidizing property gradually increases and the reducing property gradually decreases.

That is, properties shift from metallic to non-metallic. For the same reason, alkali metals of Gr. 1 are good reducing agents.

Halogens of Gr. 17 have a greater tendency to gain e¯s. Again down a group, reducing property increases, and oxidizing property decrease.

WBBSE Solutions For Class 10 Physical Science And Environment Chapter 8 Physical And Chemical Properties Of Matter general trend

Leave a Comment